Hematopoietic cell transplantation (HCT) is the only potential curative option for many advanced hematologic diseases. Pediatrics, adolescent and young adult (PAYA) patients overall have less pre-HCT comorbidity or organ toxicity and lower transplant related morbidity and mortality risk compared to older adults. As such, a higher percentage of patients in this age group tend to receive myeloablative conditioning (MAC) over non-myeloablative regimens. Current alternative donor sources when a matched sibling donor (MSD) is not available include matched unrelated (MUD), umbilical cord blood (UCB), and haploidentical (Haplo) donors. While there are accumulating data comparing the HCT outcomes between MUD vs. Haplo or UCB in adult patients, the data are sparse in PAYA patients.
In this retrospective study, we reviewed 314 consecutive patients aged 1-39 years who underwent their first allogeneic HCT using MAC at City of Hope between 1/2005-7/2018. Patients who received HCT from a matched sibling donor were excluded. Patients received HCT from either an 8/8 HLA MUD (n=196 [BM= 27%, PBSC= 73%]), UCB (n=83 [single: n=30, double: n=53]) or Haplo (n=35) donor. The most used MAC regimens were fractionated total body irradiation-based (n=234, 74%). All Haplo recipients got post-HCT cyclophosphamide (PTCy) as GVHD prophylaxis. To adjust for the difference in transplant era between UCB (predominantly performed in earlier years) and Haplo (carried out predominantly in more recent years) the comparative analyses were focused on Haplo or UCB vs. MUD. Univariate and multivariable Cox regression models were used to assess the impact of patient, disease, and treatment factors on overall survival (OS), progression-free survival (PFS), relapse/progression (RP), and non-relapse mortality (NRM).
Median age of patients at the time of HCT was 24 years (range: 0.7-39), with 55% of patients being male. KPS was ≥80% in 88% of the patients and 25% had HCT-CI ≥ 2. The most common diagnoses included: ALL (48%), AML (41%), and MDS/CML (11%). DRI was high/very high in 44% of patients. Groups were balanced in general but patients in the Haplo group had higher HCT-CI (median: 2, p<0.01), more frequently had high/very high disease risk (49%, p<0.01) and higher KPS ≥80% (77%, p<0.01).
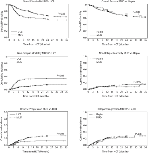
Neutrophil engraftment was achieved at a median of 23 days (range: 10-94) in the UCB, 16 days (range: 12-32) in the Haplo and 15 days (range: 10-33) in the MUD (p<0.01). After a median follow up duration of 36 months (range: 5.9-36), 3-year OS was inferior among recipients of UCB-HCT (53%, 95% CI: 42-63) compared with the MUD (63%, 95% CI: 56-70; p=0.03), while similar between Haplo (62%, 95% CI:41-78) and MUD (p=0.82). The lower OS in UCB group was primarily due to the significantly higher NRM at 3 years (34%, 95% CI: 24-44) compared with the MUD (16%, 95%CI: 11-22, p<0.01); and 3-year NRM was not significantly different between Haplo (18%,95%CI: 6-34) and MUD (p= 0.99). On the contrary, the cumulative incidence of relapse (CIR) at 3 years was significantly lower in the UCB group (14%, 95%CI: 8-24) compared to MUD (29%, 95%CI: 23-36, p=0.01); the difference in CIR was not significant between Haplo (29%, 95% CI: 16-51) and MUD (p=0.81). PFS at 3 years was not significantly different among the three donor groups (p=0.43). Cumulative incidence of day 100 acute GvHD grade 2-4 was 61% (95% CI: 55-66) in the whole cohort, with no significant difference among the three groups (p=0.27). Cumulative incidence of chronic GVHD at 3 years was higher in the MUD group (66%: 95%CI: 59-72) compared to UCB (45%, 95%CI: 34-56, P<0.01) and Haplo (47%, 95% CI: 28-64, P=0.01). By multivariable analysis, patients with high/very high disease risk had worse OS (HR=1.8, 95% CI: 1.2-2.6, p<0.01) and PFS (HR=1.8, 95% CI: 1.3-2.5, p<0.01) and higher R/P (HR=2.3, 95% CI: 1.4-3.6, p<0.01). Neither Cord nor Haplo was significantly associated with OS compared with MUD when adjusted for Age, HCT CI, DRI, KPS, and HCT Era.
In conclusion, our results indicated that in PAYA patients without a suitable MSD, outcomes of Haplo HCT are comparable to MUD HCT. By univariate analysis, UCB HCT was associated with a lower relapse rate compared to MUD. However, survival was worse in recipients of UCB HCT due to the higher NRM, possibly resulted from more infections and engraftment delays in these patients.
Ali:Incyte Corporation: Consultancy. Nakamura:Viracor: Consultancy; Kadmon Corporation: Other: Advisory board meeting; NapaJen Pharma: Consultancy; Celgene: Other: Support on seminar; Magenta Therapeutics: Other: Advisory board meeting; Alexion: Other: Support on a meeting presentation; Merck: Other: advisory board meeting; Kyowa-Kirin: Other: Support on a meeting presentation. Al Malki:Jazz Pharmacuticals, Inc: Consultancy; Neximmune: Consultancy; Rigel Pharma: Consultancy.
Author notes
Asterisk with author names denotes non-ASH members.
